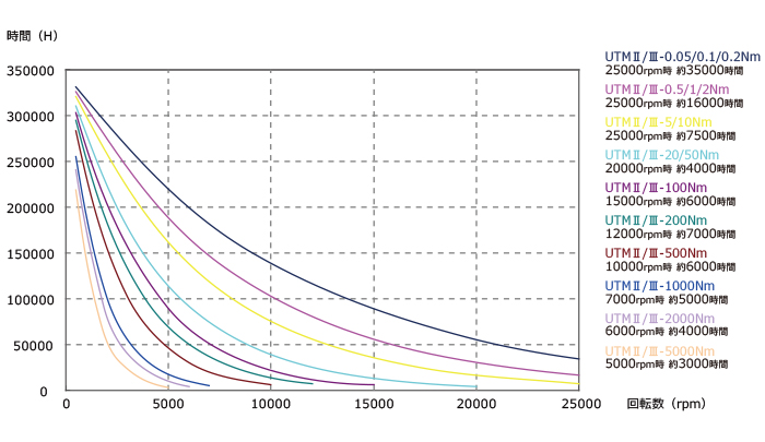
UTMⅢ、UTMⅡの寿命は?

UTMⅢ、UTMⅡの寿命はベアリングの寿命に依存します。ベアリングの寿命については下の表をご参照ください。
UTM寿命